Официальное опубликование правовых актов
ОФИЦИАЛЬНОЕ ОПУБЛИКОВАНИЕ
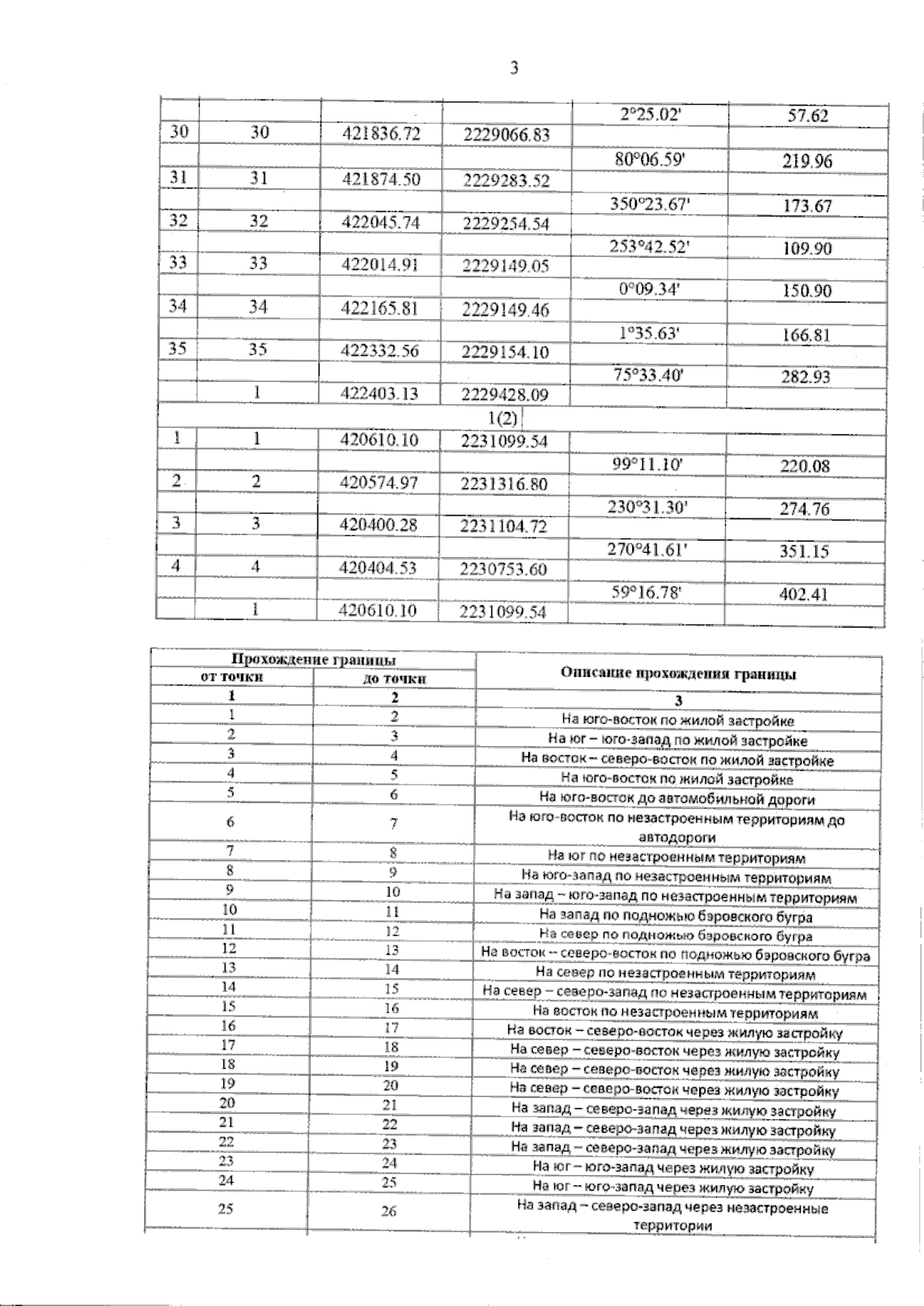
Постановление Службы государственной охраны объектов культурного наследия Астраханской области от 23.03.2026 № 4
"О внесении изменений в постановление службы государственной охраны объектов культурного наследия Астраханской области от 30.11.2018 № 09-П"
(Зарегистрирован 23.03.2026 № 302/26/4)
Номер опубликования: 3001202603260009
Дата опубликования: 26.03.2026
Страница №3 из 5:
Увеличить