Официальное опубликование правовых актов
ОФИЦИАЛЬНОЕ ОПУБЛИКОВАНИЕ
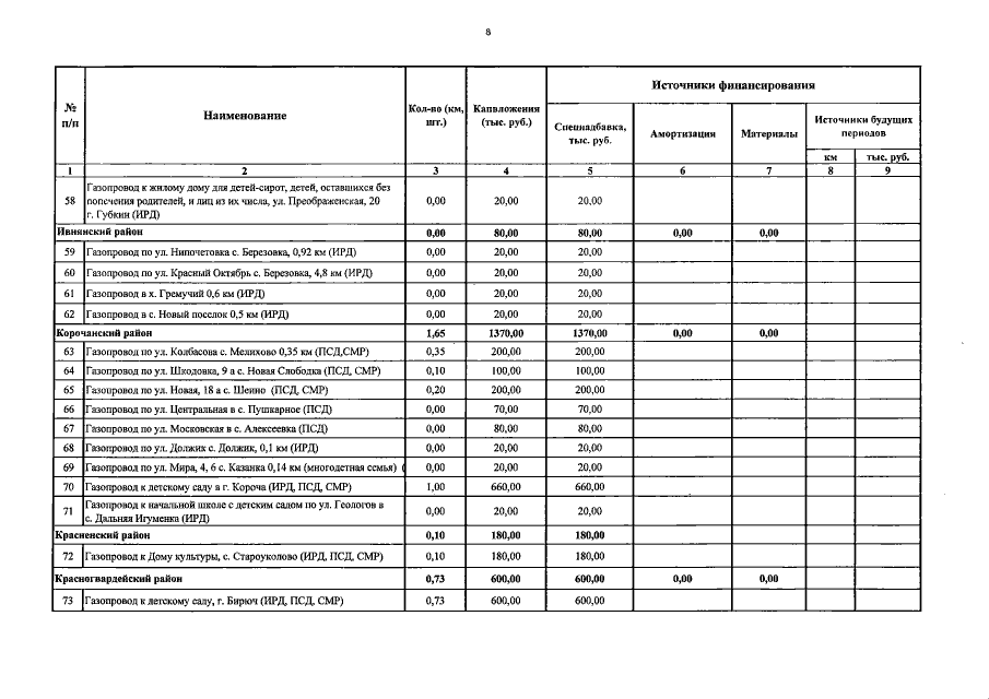
Постановление Правительства Белгородской области от 02.02.2015 № 29-пп
"Об утверждении инвестиционной программы строительства и реконструкции объектов газоснабжения потребителей Белгородской области на 2015 год"
Номер опубликования: 3100201502060006
Дата опубликования: 06.02.2015
Страница №8 из 23:
Увеличить