Официальное опубликование правовых актов
ОФИЦИАЛЬНОЕ ОПУБЛИКОВАНИЕ
Постановление Губернатора Белгородской области от 29.04.2016 № 44
"Об утверждении схемы и программы развития электроэнергетики Белгородской области на 2017-2021 годы"
Номер опубликования: 3100201605050001
Дата опубликования: 05.05.2016
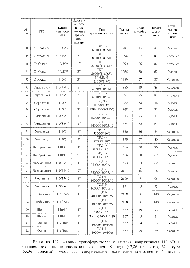
Страница №52 из 107:
Увеличить