Официальное опубликование правовых актов
ОФИЦИАЛЬНОЕ ОПУБЛИКОВАНИЕ
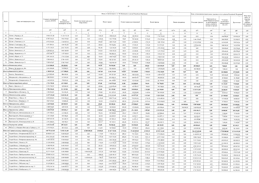
Постановление Правительства Белгородской области от 15.08.2016 № 296-пп
"О внесении изменений в постановление Правительства Белгородской области от 01 февраля 2016 года № 25-пп"
Номер опубликования: 3100201608180005
Дата опубликования: 18.08.2016
Страница №22 из 28:
Увеличить