Официальное опубликование правовых актов
ОФИЦИАЛЬНОЕ ОПУБЛИКОВАНИЕ
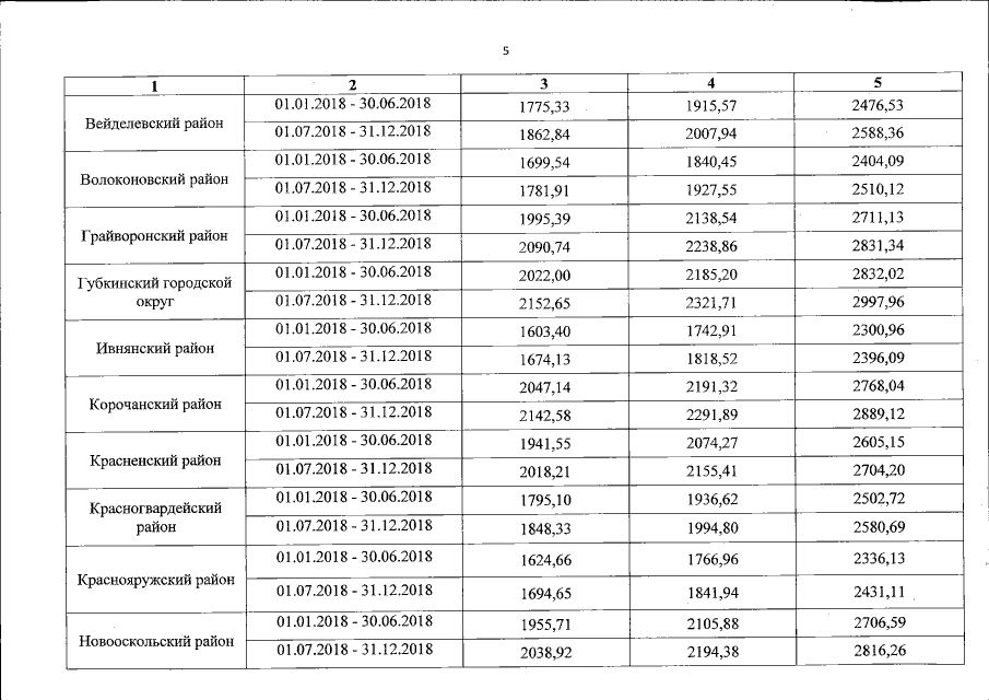
Постановление Правительства Белгородской области от 13.03.2018 № 74-пп
"Об утверждении региональных стандартов стоимости жилищно-коммунальных услуг по муниципальным образованиям Белгородской области на 2018 год"
Номер опубликования: 3100201803190001
Дата опубликования: 19.03.2018
Страница №5 из 17:
Увеличить