Официальное опубликование правовых актов
ОФИЦИАЛЬНОЕ ОПУБЛИКОВАНИЕ
Постановление Правительства Белгородской области от 19.03.2018 № 79-пп
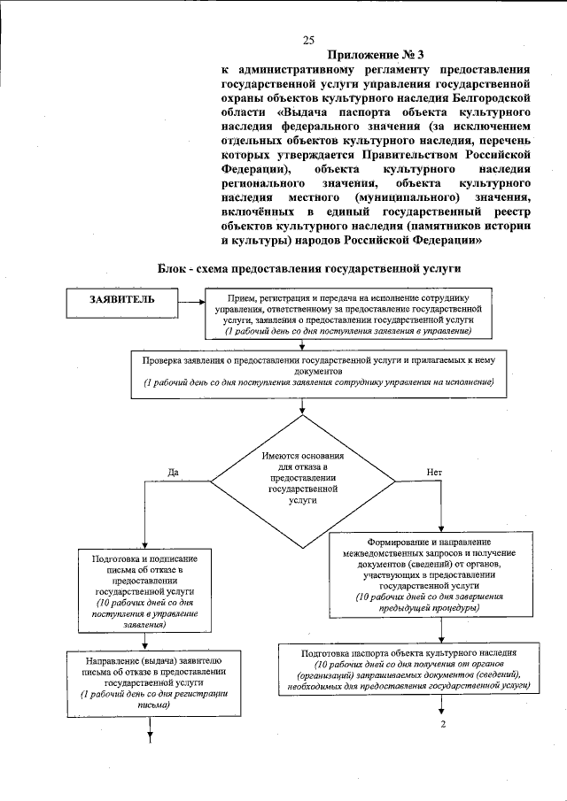
"Об утверждении административного регламента предоставления государственной услуги управления государственной охраны объектов культурного наследия Белгородской области "Выдача паспорта объекта культурного наследия федерального значения (за исключением отдельных объектов культурного наследия, перечень которых утверждается Правительством Российской Федерации), объекта культурного наследия регионального значения, объекта культурного наследия местного (муниципального) значения, включённых в единый государственный реестр объектов культурного наследия (памятников истории и культуры) народов Российской Федерации"
Номер опубликования: 3100201803210008
Дата опубликования: 21.03.2018
Страница №25 из 26:
Увеличить