Официальное опубликование правовых актов
ОФИЦИАЛЬНОЕ ОПУБЛИКОВАНИЕ
Постановление Губернатора Белгородской области от 11.07.2023 № 97
"Об утверждении схемы размещения, использования и охраны охотничьих угодий на территории Белгородской области"
Номер опубликования: 3100202307140001
Дата опубликования: 14.07.2023
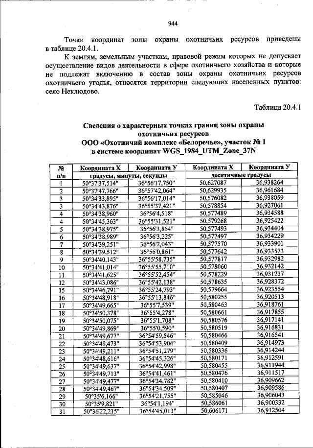
Страница №944 из 1052:
Увеличить