Официальное опубликование правовых актов
ОФИЦИАЛЬНОЕ ОПУБЛИКОВАНИЕ
Постановление Губернатора Белгородской области от 01.08.2023 № 107
"О внесении изменений в постановление Губернатора Белгородской области от 15 декабря 2021 года № 171"
Номер опубликования: 3100202308010002
Дата опубликования: 01.08.2023
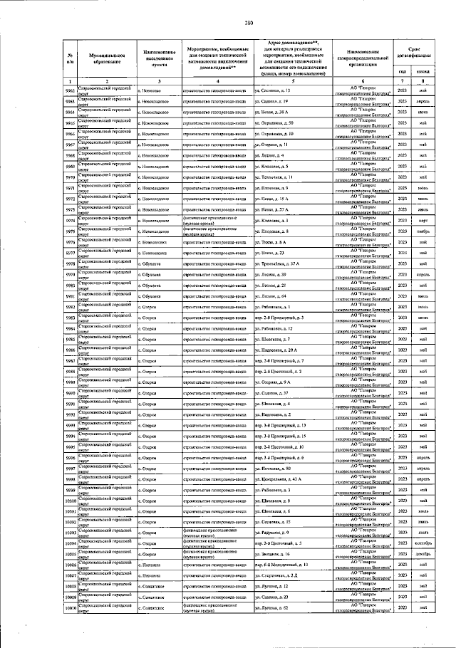
Страница №280 из 307:
Увеличить