Официальное опубликование правовых актов
ОФИЦИАЛЬНОЕ ОПУБЛИКОВАНИЕ
Постановление Правительства Белгородской области от 29.09.2025 № 453-пп
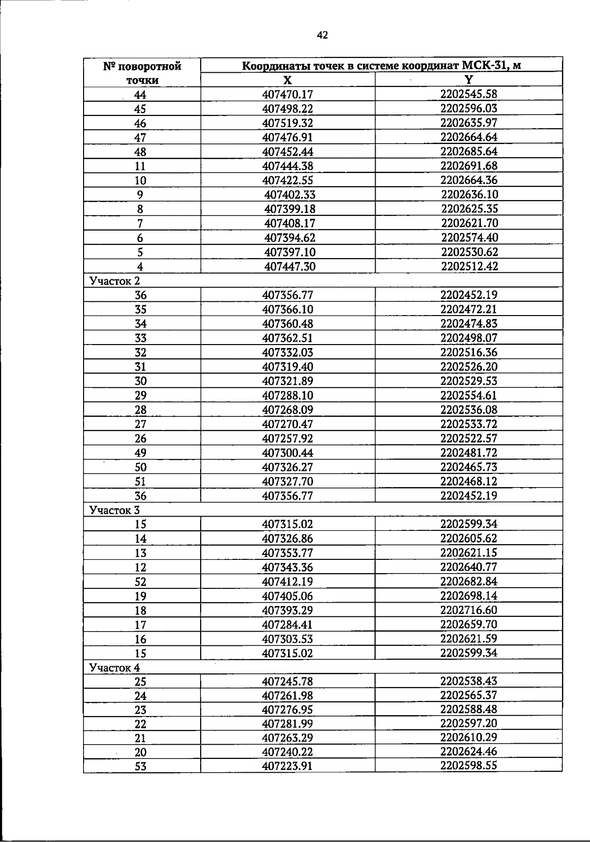
"Об утверждении границ зон охраны, режимов использования земель и требований к градостроительным регламентам в границах зон охраны объектов культурного наследия (памятников истории и культуры), расположенных на территории Новооскольского муниципального округа Белгородской области"
Номер опубликования: 3100202510020001
Дата опубликования: 02.10.2025
Страница №42 из 89:
Увеличить