Официальное опубликование правовых актов
ОФИЦИАЛЬНОЕ ОПУБЛИКОВАНИЕ
Постановление Правительства Белгородской области от 29.09.2025 № 451-пп
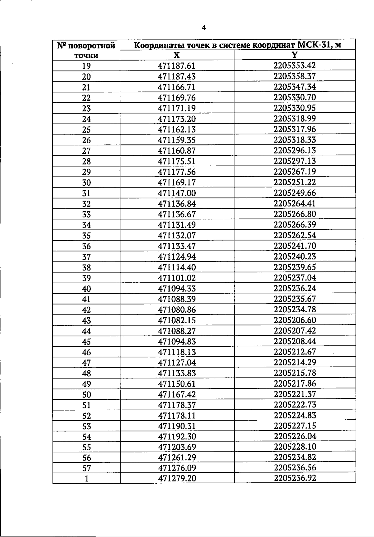
"Об утверждении границ зон охраны, режимов использования земель и требований к градостроительным регламентам в границах зон охраны объекта культурного наследия федерального значения "Крестовоздвиженская церковь", расположенного по адресу: Белгородская область, Старооскольский городской округ, г. Старый Оскол, ул. Зои Космодемьянской, 15/2"
Номер опубликования: 3100202510020002
Дата опубликования: 02.10.2025
Страница №4 из 11:
Увеличить