Официальное опубликование правовых актов
ОФИЦИАЛЬНОЕ ОПУБЛИКОВАНИЕ
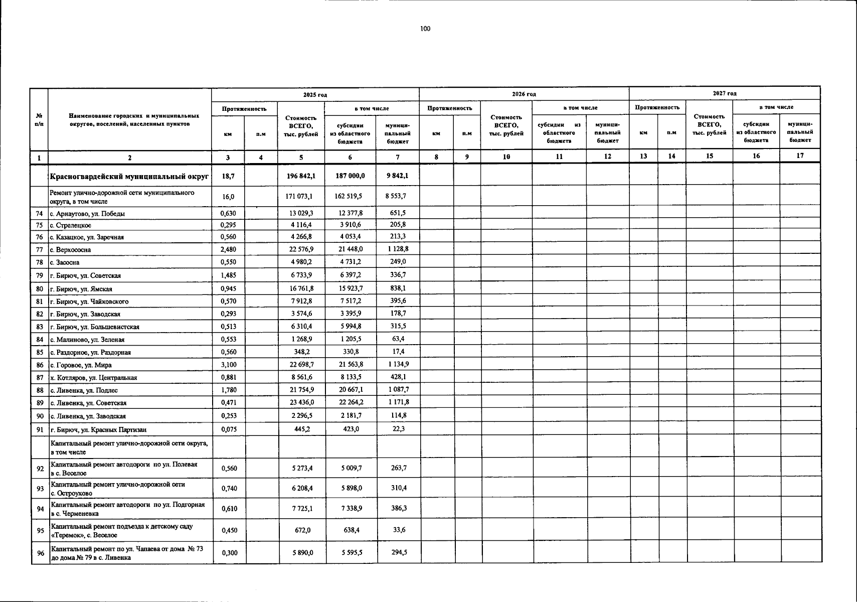
Постановление Правительства Белгородской области от 15.12.2025 № 610-пп
"О внесении изменений в постановление Правительства Белгородской области от 18 декабря 2023 года № 730-пп"
Номер опубликования: 3100202512190007
Дата опубликования: 19.12.2025
Страница №100 из 109:
Увеличить