Официальное опубликование правовых актов
ОФИЦИАЛЬНОЕ ОПУБЛИКОВАНИЕ
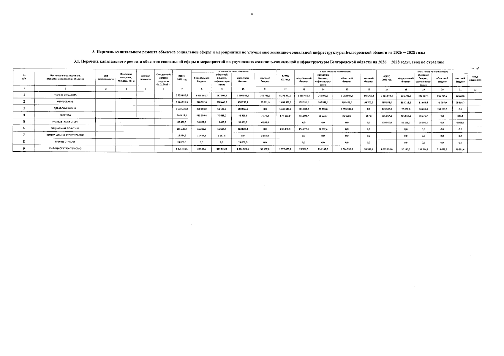
Постановление Правительства Белгородской области от 02.02.2026 № 33-пп
"Об утверждении пообъектного перечня строительства, реконструкции и капитального ремонта объектов социальной сферы и развития жилищно-коммунальной инфраструктуры Белгородской области на 2026 – 2028 годы"
Номер опубликования: 3100202602060006
Дата опубликования: 06.02.2026
Страница №11 из 53:
Увеличить