Официальное опубликование правовых актов
ОФИЦИАЛЬНОЕ ОПУБЛИКОВАНИЕ
Постановление Губернатора Белгородской области от 11.02.2026 № 28
"О внесении изменений в постановление Губернатора Белгородской области от 15 декабря 2021 года № 171"
Номер опубликования: 3100202602120011
Дата опубликования: 12.02.2026
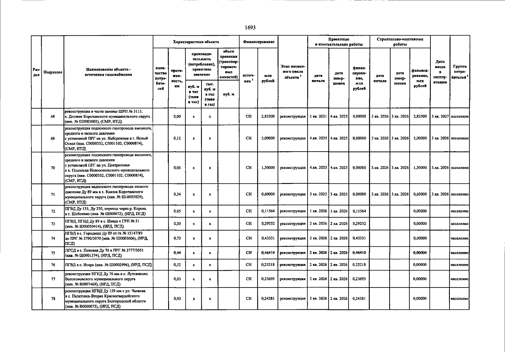
Страница №1693 из 1697:
Увеличить