Официальное опубликование правовых актов
ОФИЦИАЛЬНОЕ ОПУБЛИКОВАНИЕ
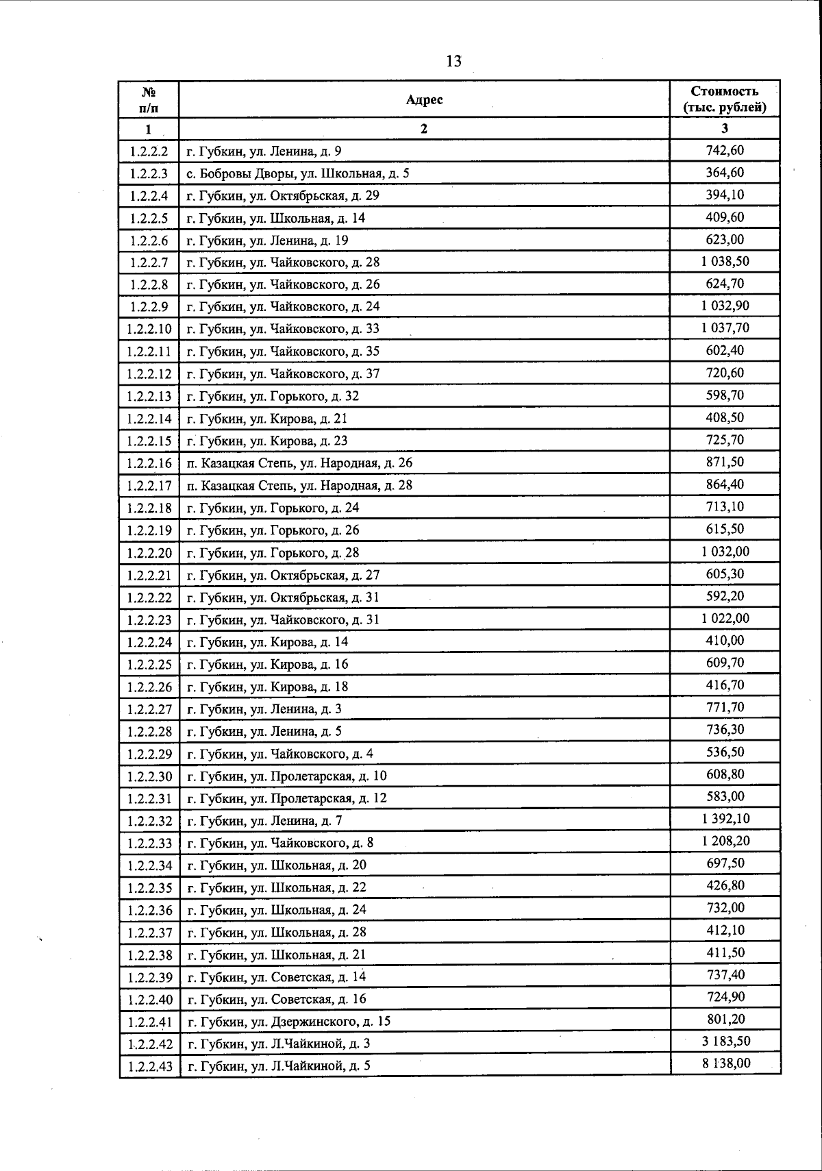
Постановление Правительства Белгородской области от 17.03.2026 № 104-пп
"О внесении изменений в постановление Правительства Белгородской области от 28 декабря 2023 года № 818-пп"
Номер опубликования: 3100202603180009
Дата опубликования: 18.03.2026
Страница №13 из 21:
Увеличить