Официальное опубликование правовых актов
ОФИЦИАЛЬНОЕ ОПУБЛИКОВАНИЕ
Постановление Правительства Белгородской области от 06.04.2026 № 146-пп
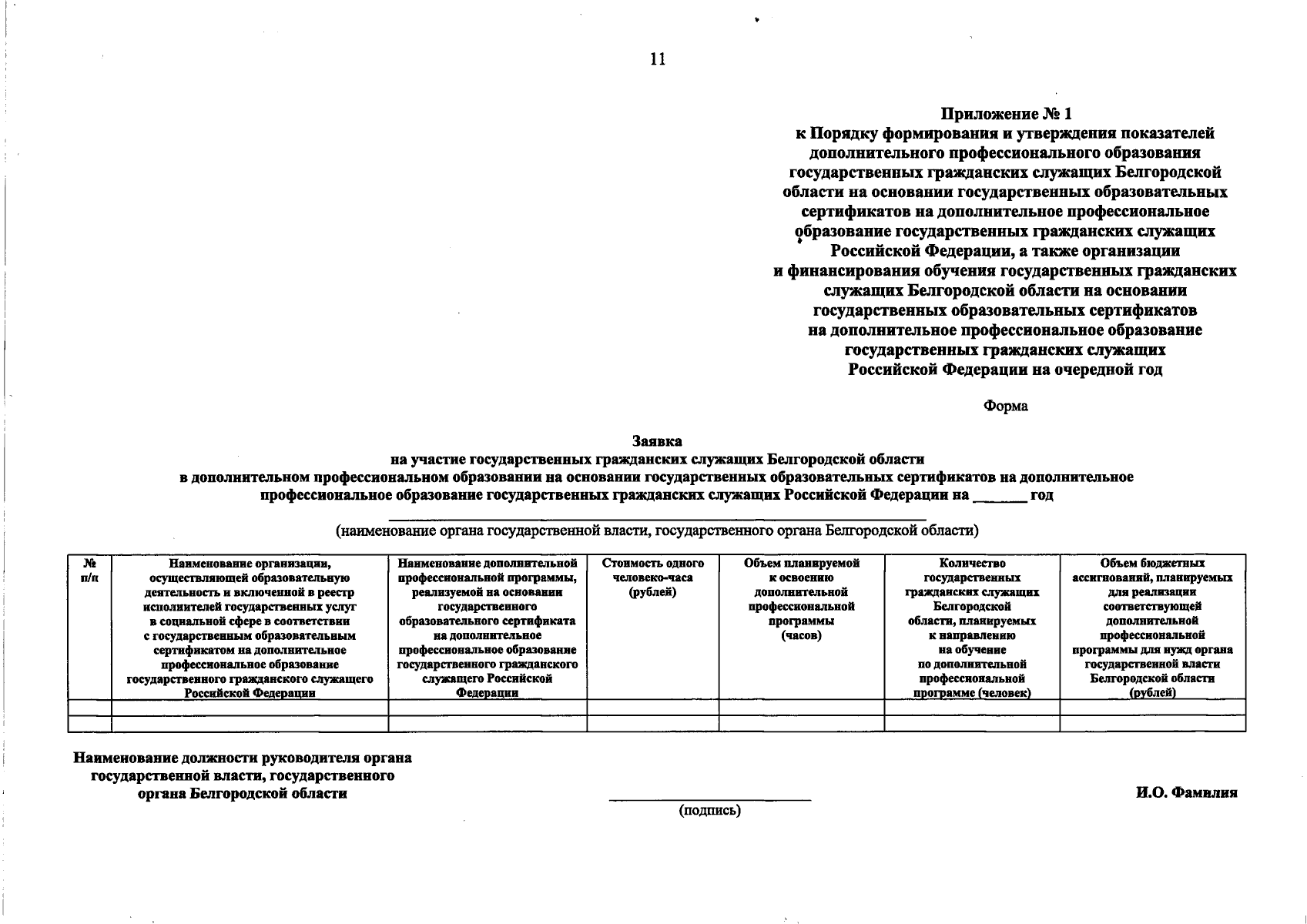
"О дополнительном профессиональном образовании государственных гражданских служащих Белгородской области на основании государственных образовательных сертификатов на дополнительное профессиональное образование государственных гражданских служащих Российской Федерации"
Номер опубликования: 3100202604130009
Дата опубликования: 13.04.2026
Страница №11 из 17:
Увеличить