Приказ Управления государственной охраны объектов культурного наследия
Белгородской области
от 10.09.2024 № 30-24/333
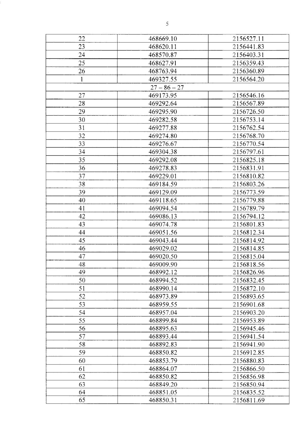
"Об утверждении границ территории объекта культурного наследия регионального значения "Усадьба "Архангельское", парк" расположенного по адресу: Белгородская область, Губкинский городской округ, с. Архангельское, и режима использования земельного участка в границах данной территории"
(Зарегистрирован 11.09.2024 № 754)
Белгородской области
от 10.09.2024 № 30-24/333
"Об утверждении границ территории объекта культурного наследия регионального значения "Усадьба "Архангельское", парк" расположенного по адресу: Белгородская область, Губкинский городской округ, с. Архангельское, и режима использования земельного участка в границах данной территории"
(Зарегистрирован 11.09.2024 № 754)
Номер опубликования: 3101202409130001
Дата опубликования:
13.09.2024
