Официальное опубликование правовых актов
ОФИЦИАЛЬНОЕ ОПУБЛИКОВАНИЕ
Постановление Правительства Брянской области от 29.05.2015 № 242-п
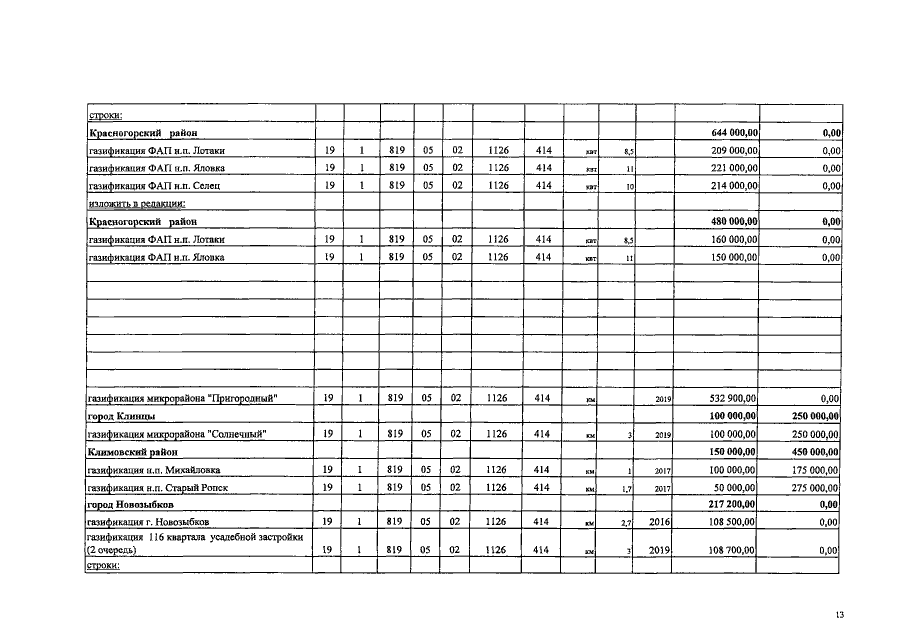
"О внесении изменений в постановление Правительства Брянской области от 29 декабря 2014 года № 678-п "Об утверждении перечней объектов бюджетных инвестиций государственной и муниципальной собственности региональной адресной инвестиционной программы на 2015 год и плановый период 2016 и 2017 годов"
Номер опубликования: 3200201506010013
Дата опубликования: 01.06.2015
Страница №14 из 15:
Увеличить