Официальное опубликование правовых актов
ОФИЦИАЛЬНОЕ ОПУБЛИКОВАНИЕ
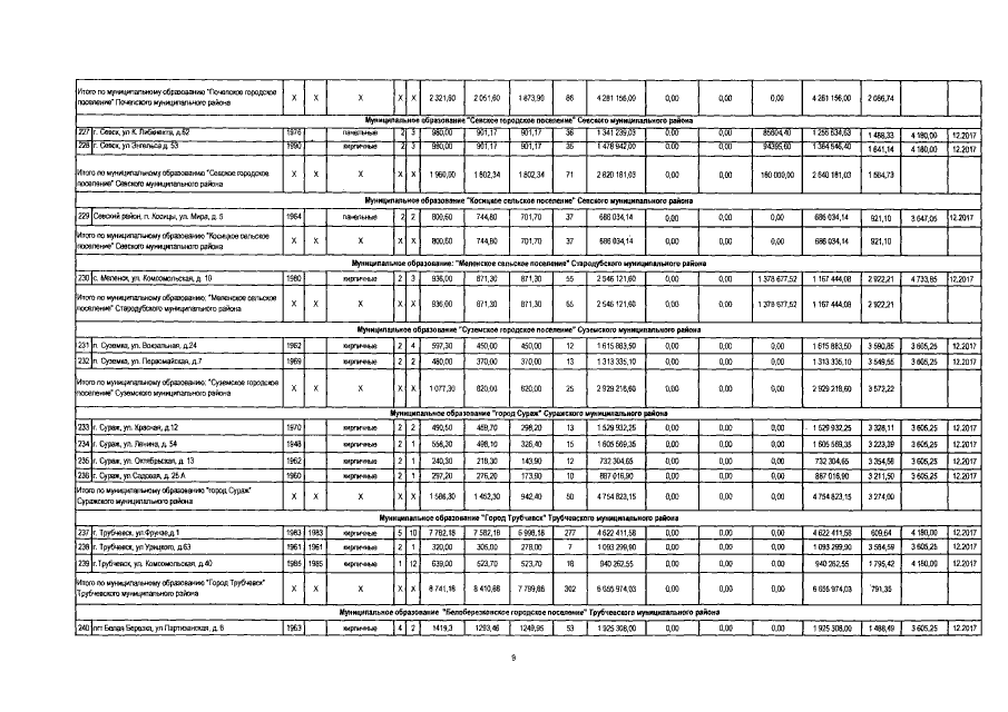
Постановление Правительства Брянской области от 05.12.2016 № 618-п
"Об утверждении краткосрочного (2017 год) плана реализации региональной программы "Проведение капитального ремонта общего имущества многоквартирных домов на территории Брянской области" (2014 - 2043 годы)"
Номер опубликования: 3200201612070003
Дата опубликования: 07.12.2016
Страница №13 из 25:
Увеличить