Официальное опубликование правовых актов
ОФИЦИАЛЬНОЕ ОПУБЛИКОВАНИЕ
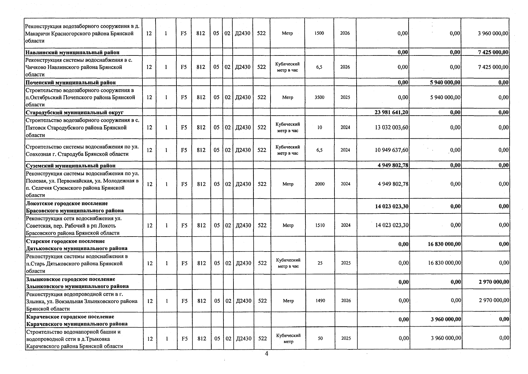
Постановление Правительства Брянской области от 07.12.2023 № 631-п
"Об утверждении перечня объектов бюджетных инвестиций государственной собственности региональной адресной инвестиционной программы на 2024 — 2026 годы, перечня объектов капитальных вложений муниципальной собственности региональной адресной инвестиционной программы на 2024 — 2026 годы, перечня объектов недвижимого имущества региональной адресной инвестиционной программы на 2024 — 2026 годы, приобретаемого в государственную собственность Брянской области, и перечня объектов недвижимого имущества региональной адресной инвестиционной программы на 2024 — 2026 годы, приобретаемого в муниципальную собственность Брянской области"
Номер опубликования: 3200202312130003
Дата опубликования: 13.12.2023
Страница №15 из 31:
Увеличить