Официальное опубликование правовых актов
ОФИЦИАЛЬНОЕ ОПУБЛИКОВАНИЕ
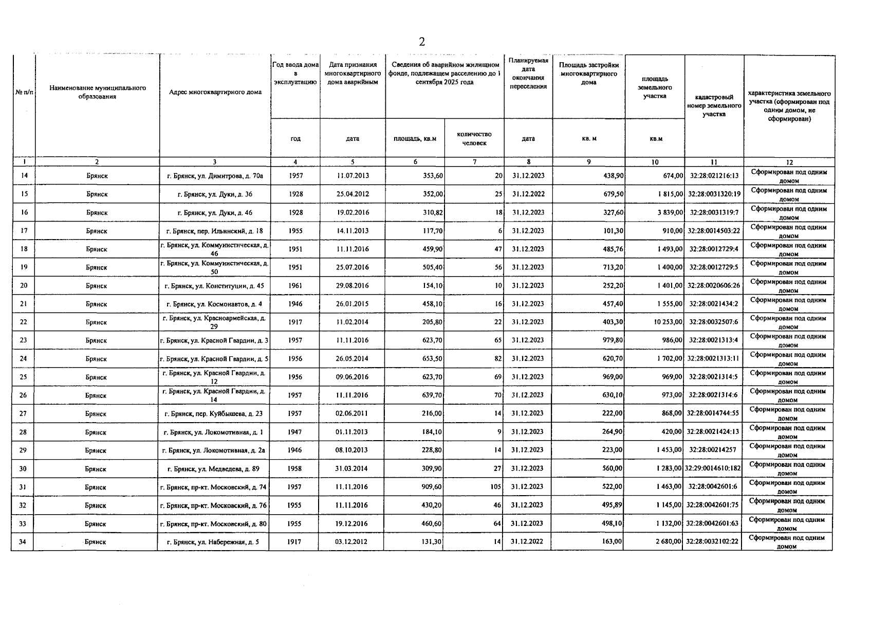
Постановление Правительства Брянской области от 02.09.2024 № 404-п
"Об итогах выполнения региональной адресной программы "Переселение граждан из аварийного жилищного фонда на территории Брянской области" (2019 — 2023 годы)"
Номер опубликования: 3200202409110001
Дата опубликования: 11.09.2024
Страница №6 из 19:
Увеличить