Официальное опубликование правовых актов
ОФИЦИАЛЬНОЕ ОПУБЛИКОВАНИЕ
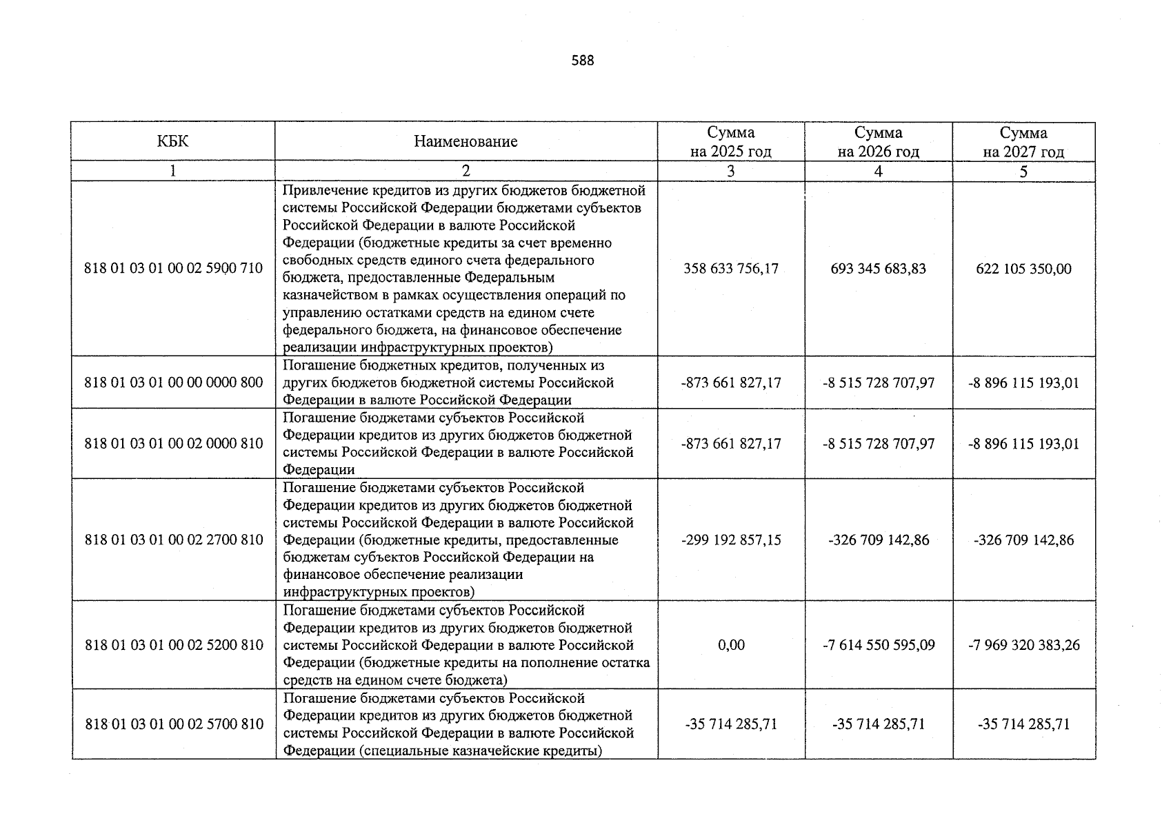
Закон Брянской области от 02.12.2025 № 93-З
"О внесении изменений в Закон Брянской области "Об областном бюджете на 2025 год и на плановый период 2026 и 2027 годов"
Номер опубликования: 3200202512030002
Дата опубликования: 03.12.2025
Страница №588 из 595:
Увеличить