Официальное опубликование правовых актов
ОФИЦИАЛЬНОЕ ОПУБЛИКОВАНИЕ
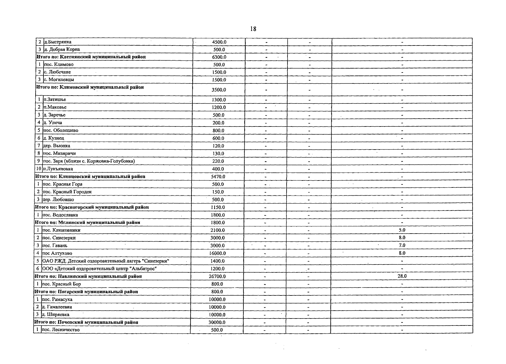
Указ Губернатора Брянской области от 17.03.2026 № 22
"Об утверждении сводного плана тушения лесных пожаров на территории Брянской области на период пожароопасного сезона 2026 года"
Номер опубликования: 3200202603240013
Дата опубликования: 24.03.2026
Страница №19 из 66:
Увеличить