Официальное опубликование правовых актов
ОФИЦИАЛЬНОЕ ОПУБЛИКОВАНИЕ
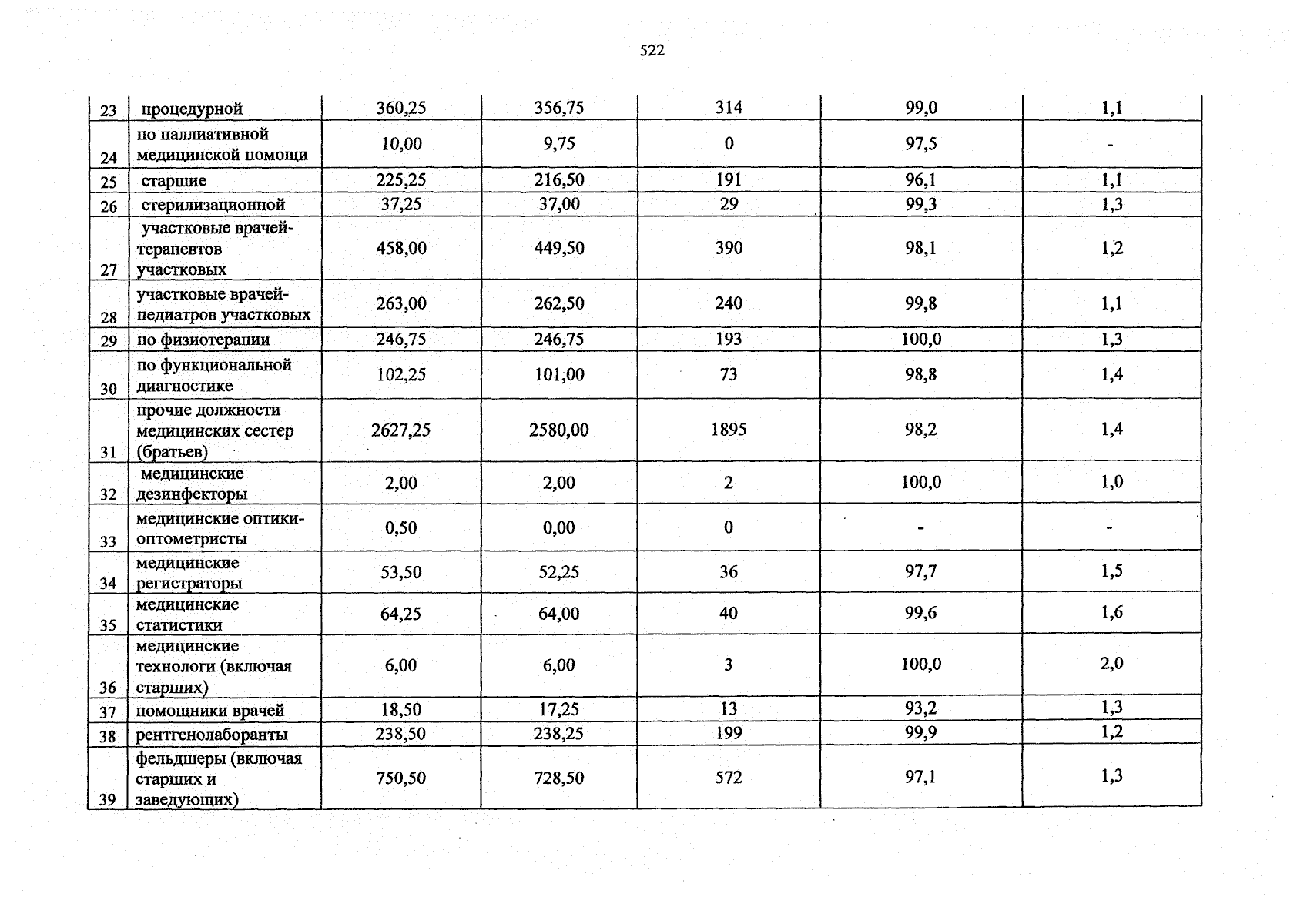
Постановление Правительства Брянской области от 27.03.2026 № 133-п
"О внесении изменений в региональную программу "Модернизация первичного звена здравоохранения Брянской области"
Номер опубликования: 3200202604030011
Дата опубликования: 03.04.2026
Страница №524 из 540:
Увеличить