Приказ Управления имущественных отношений Брянской области от 26.11.2015 № 1883
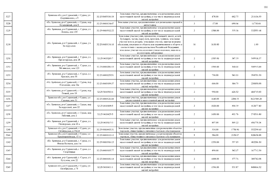
"Об утверждении результатов определения кадастровой стоимости земельных участков, относящихся к категории земель населённых пунктов, расположенных на территории муниципального района "Суражский"
"Об утверждении результатов определения кадастровой стоимости земельных участков, относящихся к категории земель населённых пунктов, расположенных на территории муниципального района "Суражский"
Номер опубликования: 3201201511270015
Дата опубликования:
27.11.2015
