Официальное опубликование правовых актов
ОФИЦИАЛЬНОЕ ОПУБЛИКОВАНИЕ
Приказ Управления имущественных отношений Брянской области от 03.03.2017 № 180
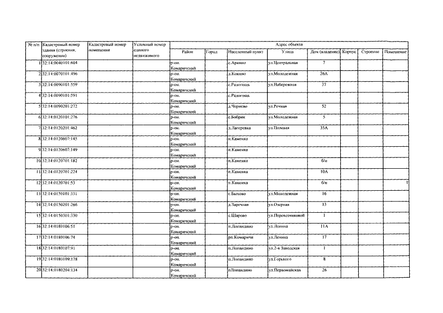
"О внесении изменений в приказ от 18.11.2016 №1370 "О внесении изменений в приказ от 26.10.2016 №1266 "Об определении перечня объектов недвижимого имущества, расположенных на территории Комаричского района Брянской области, в отношении которых в 2017 году налоговая база определяется как их кадастровая стоимость"
Номер опубликования: 3201201703070001
Дата опубликования: 07.03.2017
Страница №3 из 8:
Увеличить