Официальное опубликование правовых актов
ОФИЦИАЛЬНОЕ ОПУБЛИКОВАНИЕ
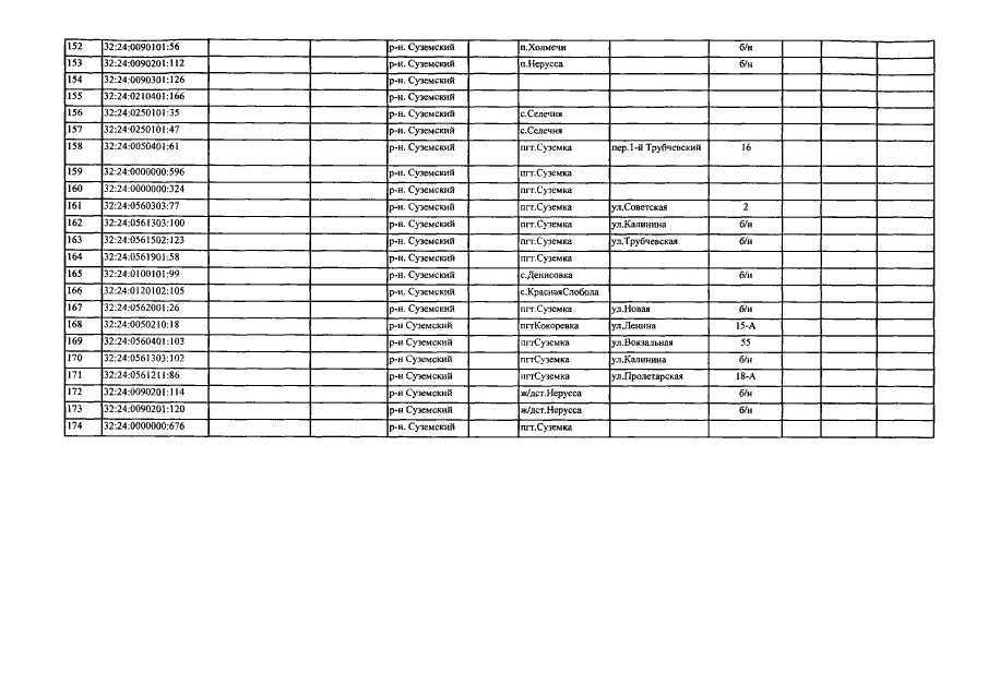
Приказ Управления имущественных отношений Брянской области от 28.06.2017 № 687
"О внесении изменений в приказ от 26.10.2016 №1277 "Об определении перечня объектов недвижимого имущества, расположенных на территории Суземского района Брянской области, в отношении которых в 2017 году налоговая база определяется как их кадастровая стоимость"
Номер опубликования: 3201201707050001
Дата опубликования: 05.07.2017
Страница №8 из 8:
Увеличить