Приказ Управления имущественных отношений Брянской области от 27.11.2017 № 1334
"Об определении перечня объектов недвижимого имущества, расположенных на территории Злынковского района Брянской области, в отношении которых в 2018 году налоговая база определяется как их кадастровая стоимость"
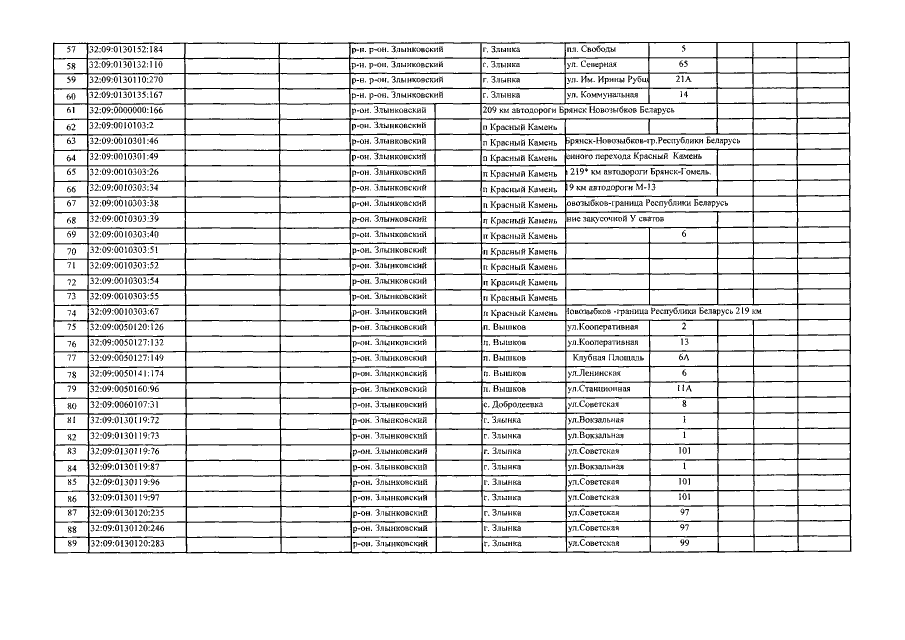
"Об определении перечня объектов недвижимого имущества, расположенных на территории Злынковского района Брянской области, в отношении которых в 2018 году налоговая база определяется как их кадастровая стоимость"
Номер опубликования: 3201201711300015
Дата опубликования:
30.11.2017
