Приказ Управления имущественных отношений Брянской области от 02.04.2018 № 497
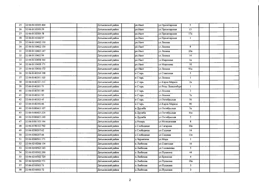
"О внесении изменений в приказ от 27.11.2017 №1337 "Об определении перечня объектов недвижимого имущества, расположенных на территории Дятьковского района Брянской области, в отношении которых в 2018 году налоговая база определяется как их кадастровая стоимость"
"О внесении изменений в приказ от 27.11.2017 №1337 "Об определении перечня объектов недвижимого имущества, расположенных на территории Дятьковского района Брянской области, в отношении которых в 2018 году налоговая база определяется как их кадастровая стоимость"
Номер опубликования: 3201201804040001
Дата опубликования:
04.04.2018
