Официальное опубликование правовых актов
ОФИЦИАЛЬНОЕ ОПУБЛИКОВАНИЕ
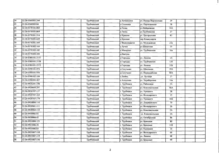
Приказ Управления имущественных отношений Брянской области от 02.04.2018 № 499
"О внесении изменений в приказ от 27.11.2017 №1317 "Об определении перечня объектов недвижимого имущества, расположенных на территории Трубчевского района Брянской области, в отношении которых в 2018 году налоговая база определяется как их кадастровая стоимость"
Номер опубликования: 3201201804040003
Дата опубликования: 04.04.2018
Страница №4 из 11:
Увеличить