Официальное опубликование правовых актов
ОФИЦИАЛЬНОЕ ОПУБЛИКОВАНИЕ
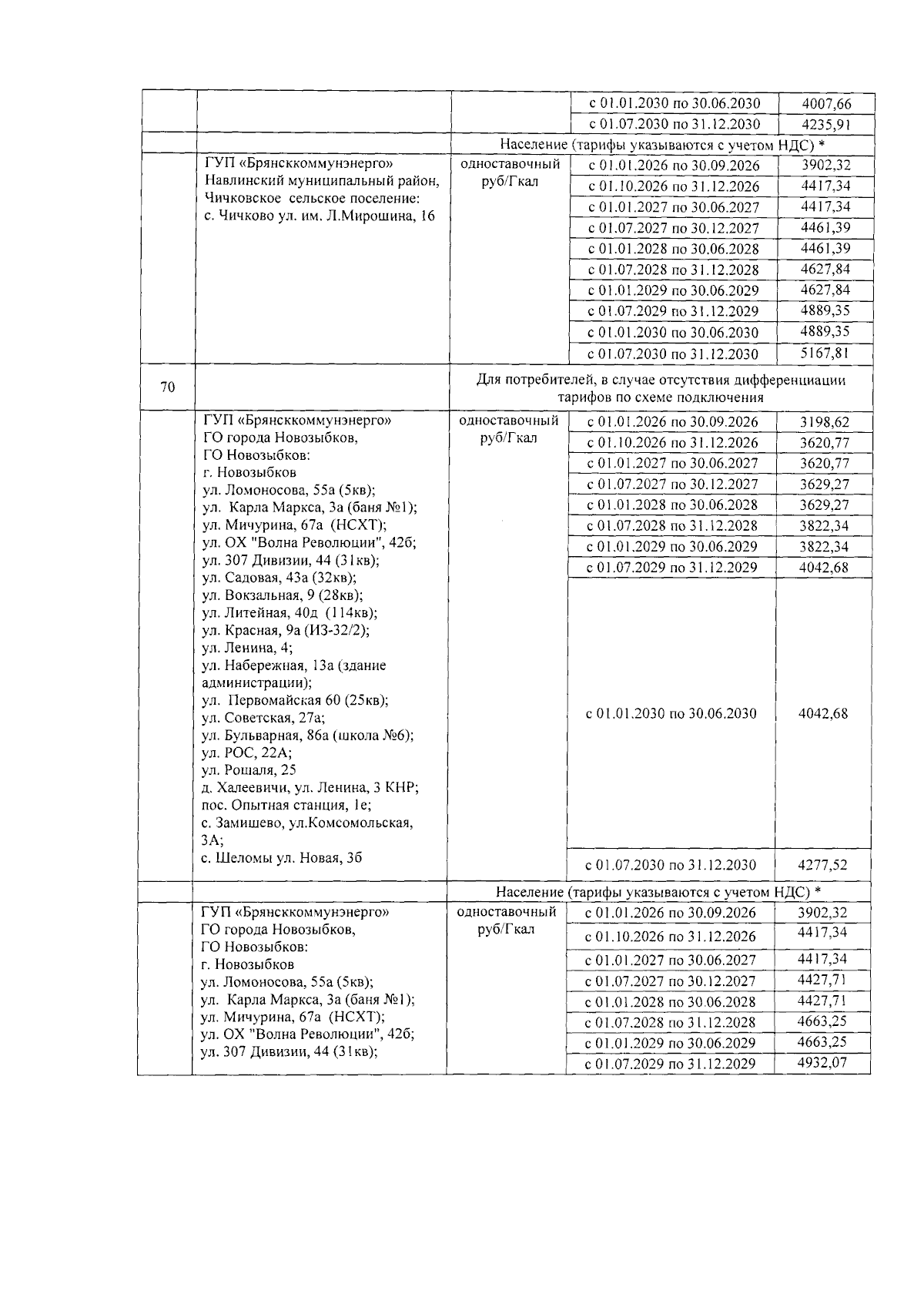
Приказ Управления государственного регулирования тарифов Брянской области от 19.12.2025 № 45-2/1-т
"О тарифах на тепловую энергию (мощность), поставляемую потребителям ГУП "Брянсккоммунэнерго" на 2026-2030 гг."
(Зарегистрирован 25.12.2025 № 20250225024)
Номер опубликования: 3201202512300014
Дата опубликования: 30.12.2025
Страница №34 из 49:
Увеличить