Указ Губернатор Владимирской области от 28.01.2015 № 6
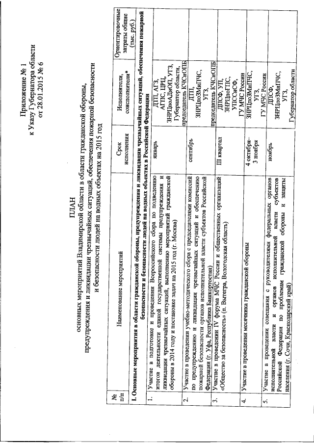
"Об утверждении "Плана основных мероприятий Владимирской области в области гражданской обороны, предупреждения и ликвидации чрезвычайных ситуаций, обеспечения пожарной безопасности и безопасности людей на водных объектах на 2015 год" и "Плана комплектования государственного бюджетного образовательного учреждения дополнительного образования Владимирской области "Учебно-методический центр по гражданской обороне и чрезвычайным ситуациям Владимирской области" на 2015 год"
"Об утверждении "Плана основных мероприятий Владимирской области в области гражданской обороны, предупреждения и ликвидации чрезвычайных ситуаций, обеспечения пожарной безопасности и безопасности людей на водных объектах на 2015 год" и "Плана комплектования государственного бюджетного образовательного учреждения дополнительного образования Владимирской области "Учебно-методический центр по гражданской обороне и чрезвычайным ситуациям Владимирской области" на 2015 год"
Номер опубликования: 3300201501300004
Дата опубликования:
30.01.2015
