Официальное опубликование правовых актов
ОФИЦИАЛЬНОЕ ОПУБЛИКОВАНИЕ
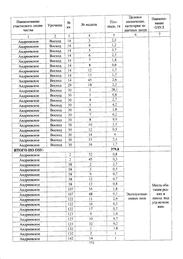
Постановление администрации Владимирской области от 19.05.2016 № 412
"Об утверждении лесохозяйственного регламента государственного казенного учреждения Владимирской области "Андреевское лесничество" и о внесении изменения в постановление Губернатора области от 29.12.2008 № 952"
Номер опубликования: 3300201605240005
Дата опубликования: 24.05.2016
Страница №174 из 313:
Увеличить