Официальное опубликование правовых актов
ОФИЦИАЛЬНОЕ ОПУБЛИКОВАНИЕ
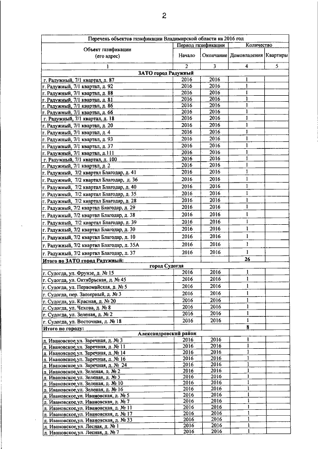
Постановление администрации Владимирской области от 28.09.2016 № 859
"О перечне объектов газификации Владимирской области на 2016 год"
Номер опубликования: 3300201609290001
Дата опубликования: 29.09.2016
Страница №3 из 8:
Увеличить