Официальное опубликование правовых актов
ОФИЦИАЛЬНОЕ ОПУБЛИКОВАНИЕ
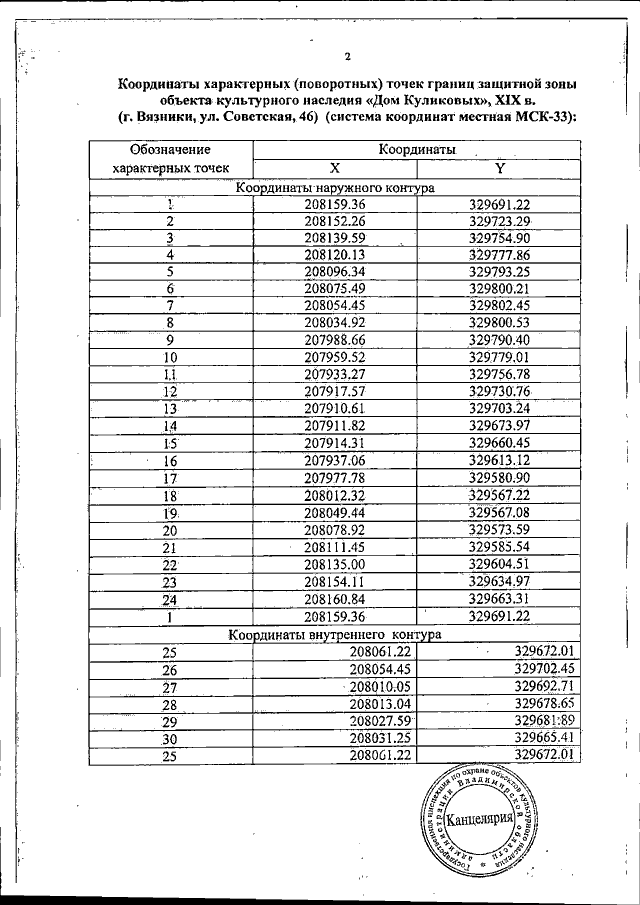
Постановление Инспекции по охране объектов культурного наследия Владимирской области от 13.09.2018 № 30
"Об установлении границ защитной зоны объекта культурного наследия регионального значения"
Номер опубликования: 3301201809230003
Дата опубликования: 23.09.2018
Страница №3 из 4:
Увеличить