Официальное опубликование правовых актов
ОФИЦИАЛЬНОЕ ОПУБЛИКОВАНИЕ
Приказ Министерства природопользования и экологии Владимирской области от 30.09.2025 № 53-н
"Об установлении зон санитарной охраны источников питьевого, хозяйственно-бытового и технического водоснабжения ИП Маньков А.А."
(Зарегистрирован 30.09.2025 № МПЭ2025-053)
Номер опубликования: 3301202509300001
Дата опубликования: 30.09.2025
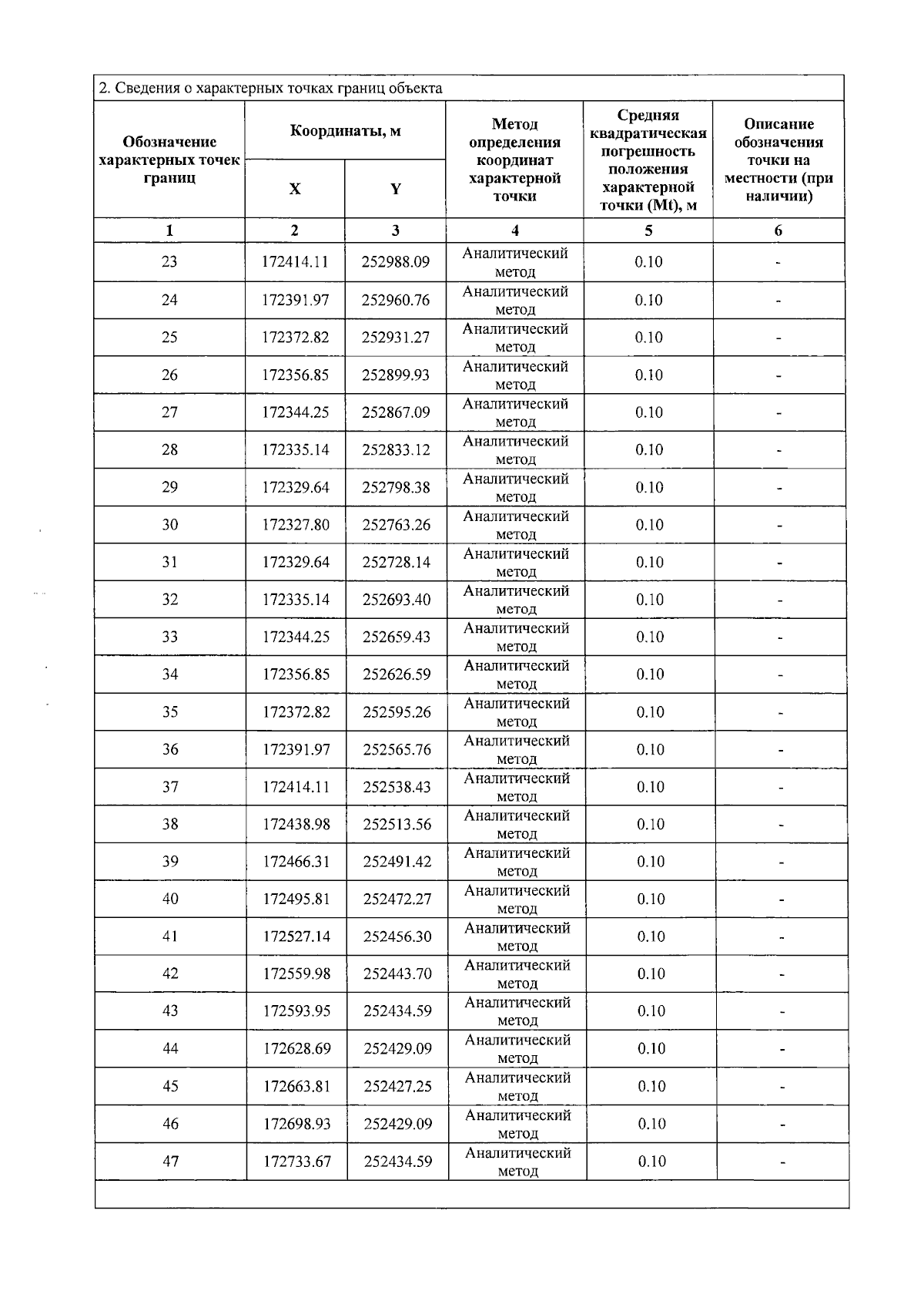
Страница №15 из 20:
Увеличить