Официальное опубликование правовых актов
ОФИЦИАЛЬНОЕ ОПУБЛИКОВАНИЕ
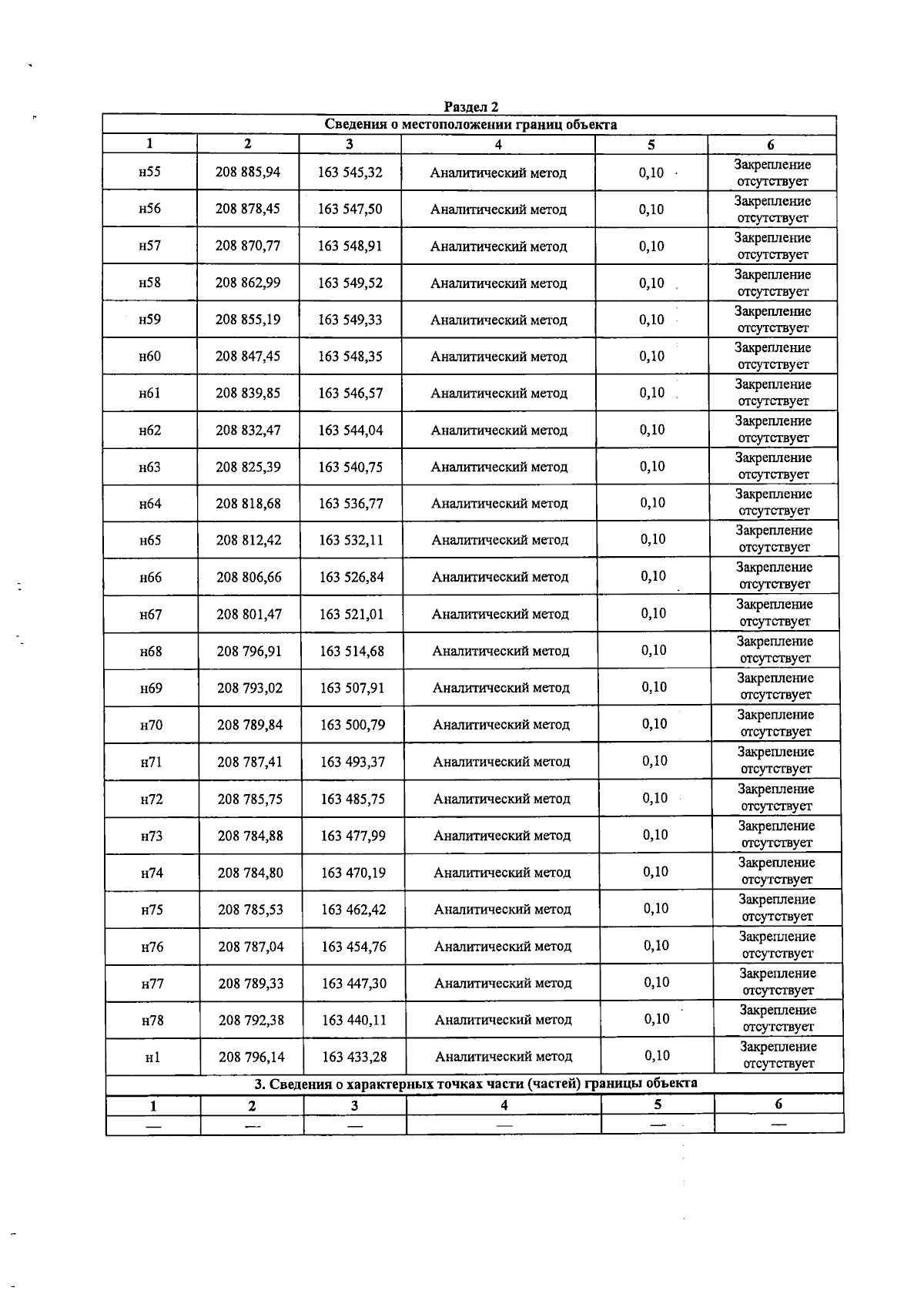
Приказ Министерства природопользования и экологии Владимирской области от 22.10.2025 № 64-н
"Об установлении зон санитарной охраны источников хозяйственно - питьевого и технологического водоснабжения МУП г. Кольчугино "Коммунальник"
(Зарегистрирован 22.10.2025 № МПЭ2025-064)
Номер опубликования: 3301202510230003
Дата опубликования: 23.10.2025
Страница №58 из 63:
Увеличить