Официальное опубликование правовых актов
ОФИЦИАЛЬНОЕ ОПУБЛИКОВАНИЕ
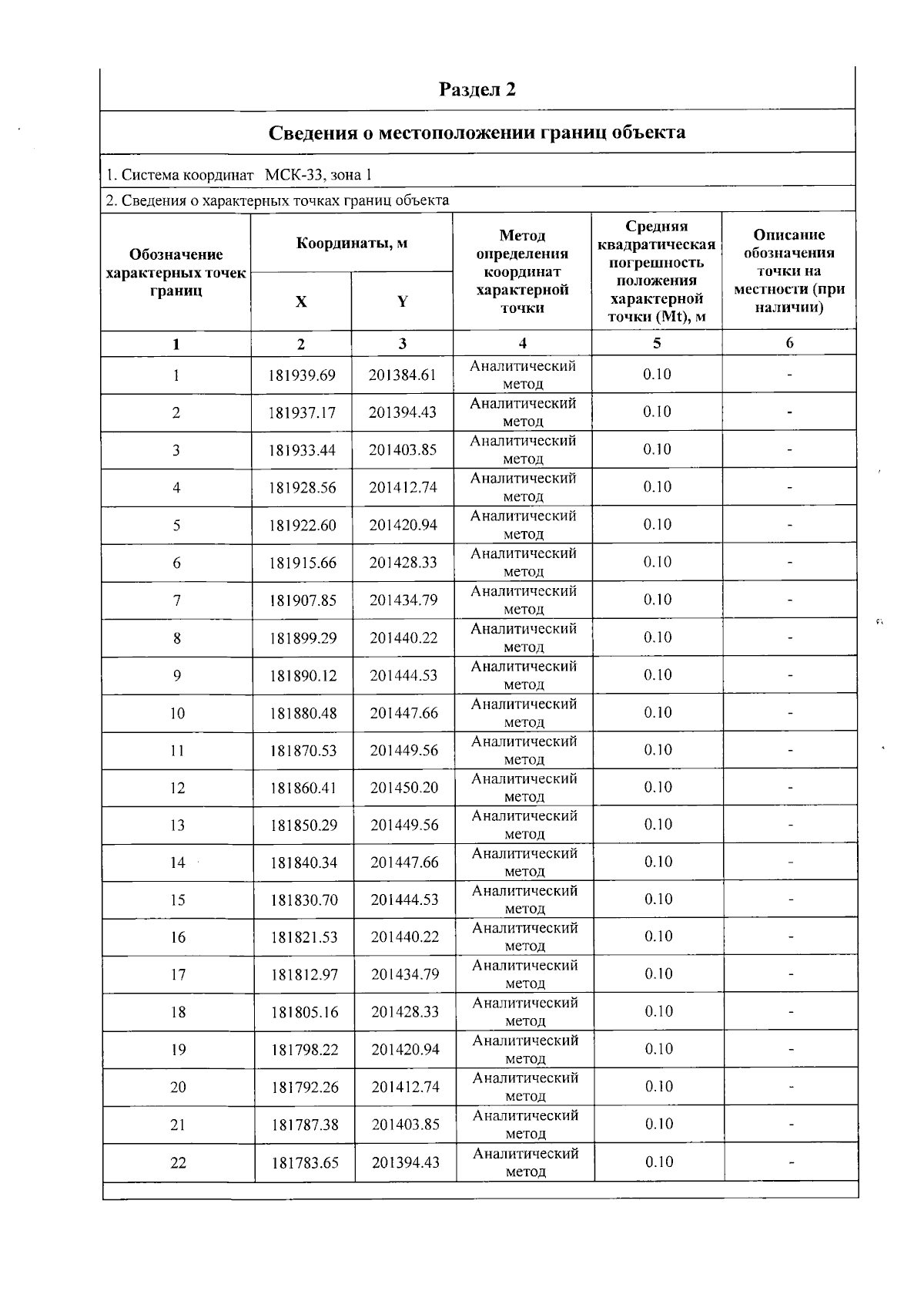
Приказ Министерства природопользования и экологии Владимирской области от 24.10.2025 № 66-н
"Об установлении зон санитарной охраны источников питьевого водоснабжения АО "Воршанское"
(Зарегистрирован 24.10.2025 № МПЭ2025-066)
Номер опубликования: 3301202510240001
Дата опубликования: 24.10.2025
Страница №8 из 38:
Увеличить