Официальное опубликование правовых актов
ОФИЦИАЛЬНОЕ ОПУБЛИКОВАНИЕ
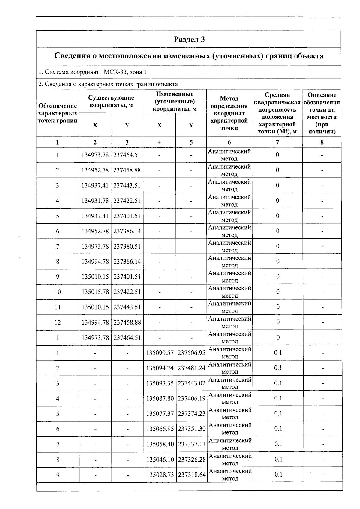
Приказ Министерства природопользования и экологии Владимирской области от 19.11.2025 № 73-н
"О внесении изменений в постановление Департамента природопользования от 14.07.2021 № 141"
(Зарегистрирован 19.11.2025 № МПЭ2025-073)
Номер опубликования: 3301202511200006
Дата опубликования: 20.11.2025
Страница №26 из 106:
Увеличить