Официальное опубликование правовых актов
ОФИЦИАЛЬНОЕ ОПУБЛИКОВАНИЕ
Приказ Министерства природопользования и экологии Владимирской области от 04.12.2025 № 82-н
"О внесении изменений в приказ Департамента природопользования от 14.10.2013 № 169/01-08"
(Зарегистрирован 04.12.2025 № МПЭ2025-082)
Номер опубликования: 3301202512050024
Дата опубликования: 05.12.2025
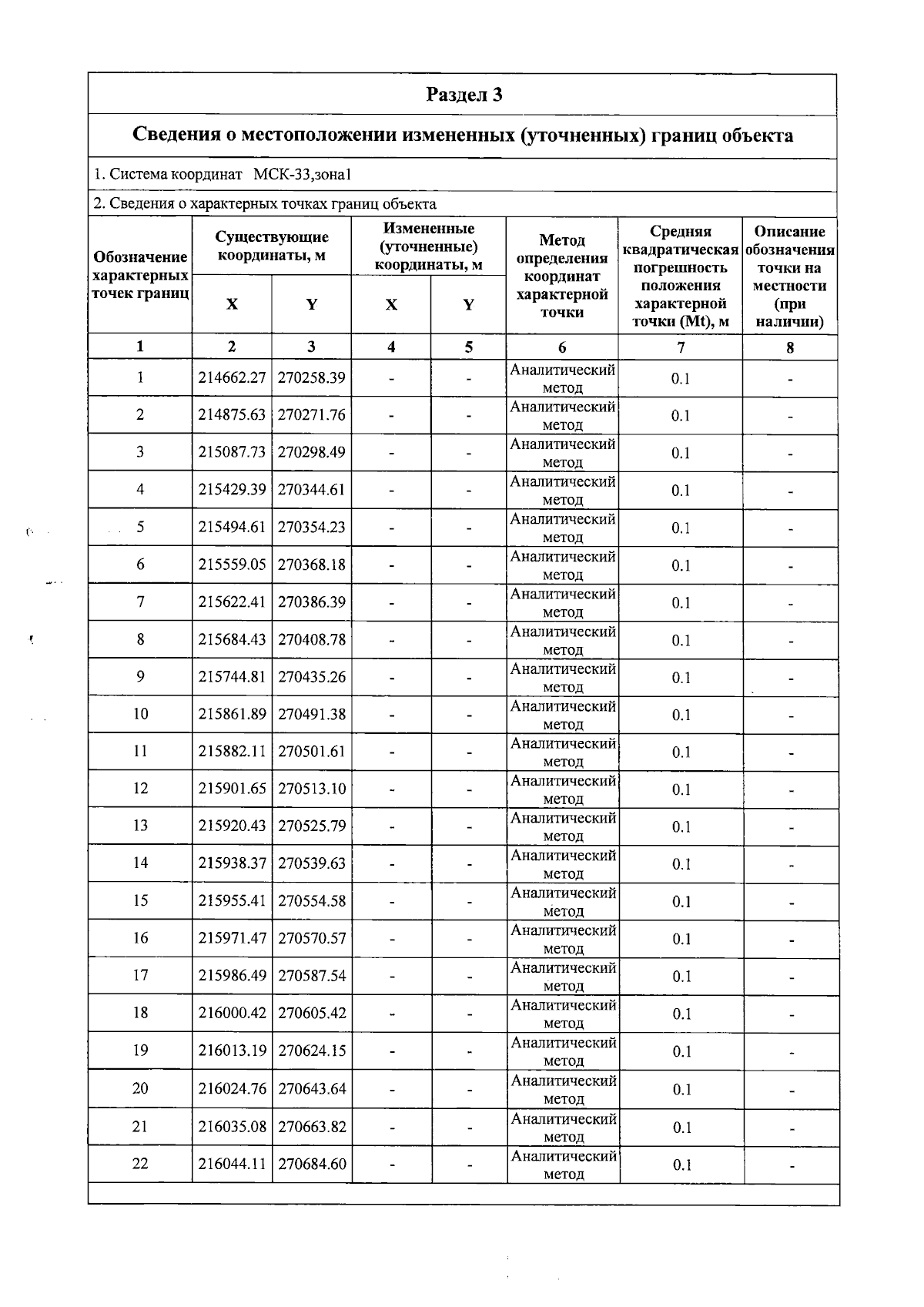
Страница №78 из 103:
Увеличить