Официальное опубликование правовых актов
ОФИЦИАЛЬНОЕ ОПУБЛИКОВАНИЕ
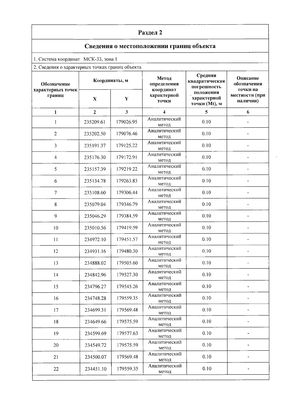
Приказ Министерства природопользования и экологии Владимирской области от 11.12.2025 № 85-н
"Об установлении зон санитарной охраны источников питьевого и технологического водоснабжения МУП Юрьев-Польского района "Водоканал"
(Зарегистрирован 11.12.2025 № МПЭ2025-085)
Номер опубликования: 3301202512110008
Дата опубликования: 11.12.2025
Страница №83 из 107:
Увеличить