Официальное опубликование правовых актов
ОФИЦИАЛЬНОЕ ОПУБЛИКОВАНИЕ
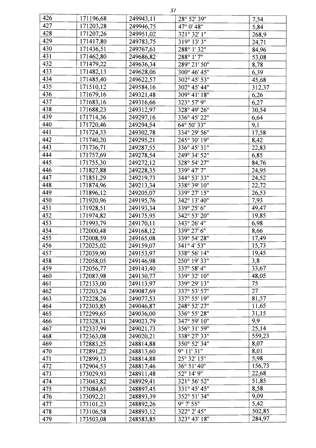
Приказ Министерства архитектуры и строительства Владимирской области от 29.01.2026 № 2-н
"Об утверждении документации по планировке территории объекта: "Водовод, проходящий по территории Судогодского района и муниципального образования (городской округ) город Владимир"
(Зарегистрирован 29.01.2026 № МАС 2026-002)
Номер опубликования: 3301202602020009
Дата опубликования: 02.02.2026
Страница №125 из 309:
Увеличить