Официальное опубликование правовых актов
ОФИЦИАЛЬНОЕ ОПУБЛИКОВАНИЕ
Приказ Министерства природопользования и экологии Владимирской области от 03.02.2026 № 11-н
"Об установлении зон санитарной охраны источников питьевого, хозяйственно-бытового и технологического водоснабжения ООО "Покровский ЗЖБИ"
(Зарегистрирован 03.02.2026 № МПЭ2026-011)
Номер опубликования: 3301202602030005
Дата опубликования: 03.02.2026
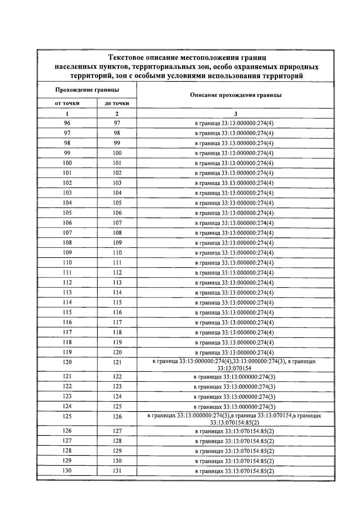
Страница №27 из 34:
Увеличить