Официальное опубликование правовых актов
ОФИЦИАЛЬНОЕ ОПУБЛИКОВАНИЕ
Приказ Министерства природопользования и экологии Владимирской области от 17.02.2026 № 14-н
"О внесении изменений в постановление Департамента природопользования от 12.02.2016 № 17/01-25"
(Зарегистрирован 17.02.2026 № МПЭ2026-014)
Номер опубликования: 3301202602180001
Дата опубликования: 18.02.2026
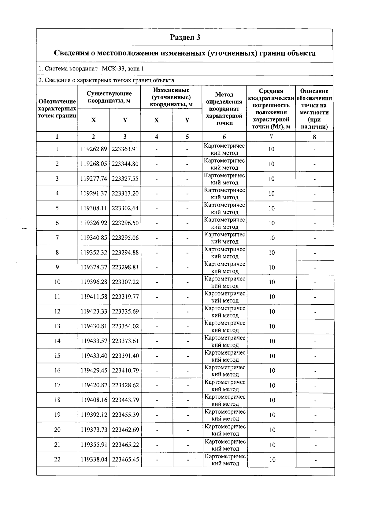
Страница №15 из 33:
Увеличить