Официальное опубликование правовых актов
ОФИЦИАЛЬНОЕ ОПУБЛИКОВАНИЕ
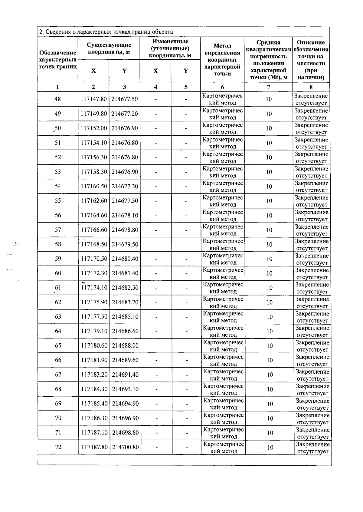
Приказ Министерства природопользования и экологии Владимирской области от 16.03.2026 № 28-н
"О внесении изменений в постановление Департамента природопользования от 03.02.2015 № 01/01 -25"
(Зарегистрирован 16.03.2026 № МПЭ2026-028)
Номер опубликования: 3301202603160001
Дата опубликования: 16.03.2026
Страница №70 из 87:
Увеличить