Официальное опубликование правовых актов
ОФИЦИАЛЬНОЕ ОПУБЛИКОВАНИЕ
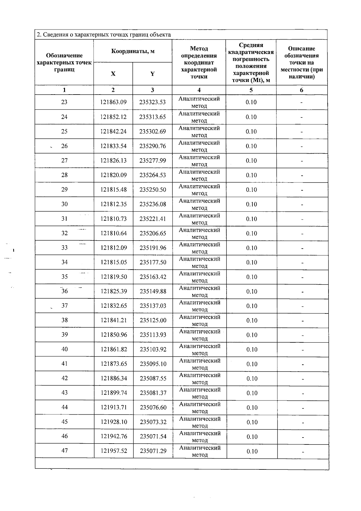
Приказ Министерства природопользования и экологии Владимирской области от 13.03.2026 № 27-н
"Об установлении зон санитарной охраны источников хозяйственно-питьевого и технологического водоснабжения МУП ЖКХ Гусь-Хрустального муниципального округа"
(Зарегистрирован 13.03.2026 № МПЭ2026-027)
Номер опубликования: 3301202603160002
Дата опубликования: 16.03.2026
Страница №14 из 19:
Увеличить