Официальное опубликование правовых актов
ОФИЦИАЛЬНОЕ ОПУБЛИКОВАНИЕ
Приказ Министерства природопользования и экологии Владимирской области от 16.03.2026 № 29-н
"О внесении изменений в постановление Департамента природопользования от 10.05.2016 № 51/01-25"
(Зарегистрирован 16.03.2026 № МПЭ2026-029)
Номер опубликования: 3301202603160003
Дата опубликования: 16.03.2026
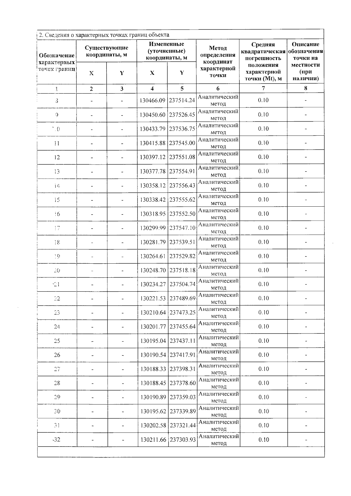
Страница №10 из 27:
Увеличить