Официальное опубликование правовых актов
ОФИЦИАЛЬНОЕ ОПУБЛИКОВАНИЕ
Приказ Министерства природопользования и экологии Владимирской области от 16.03.2026 № 30-н
"О внесении изменений в постановление Департамента природопользования от 10.05.2016 № 52/01-25"
(Зарегистрирован 16.03.2026 № МПЭ2026-030)
Номер опубликования: 3301202603160005
Дата опубликования: 16.03.2026
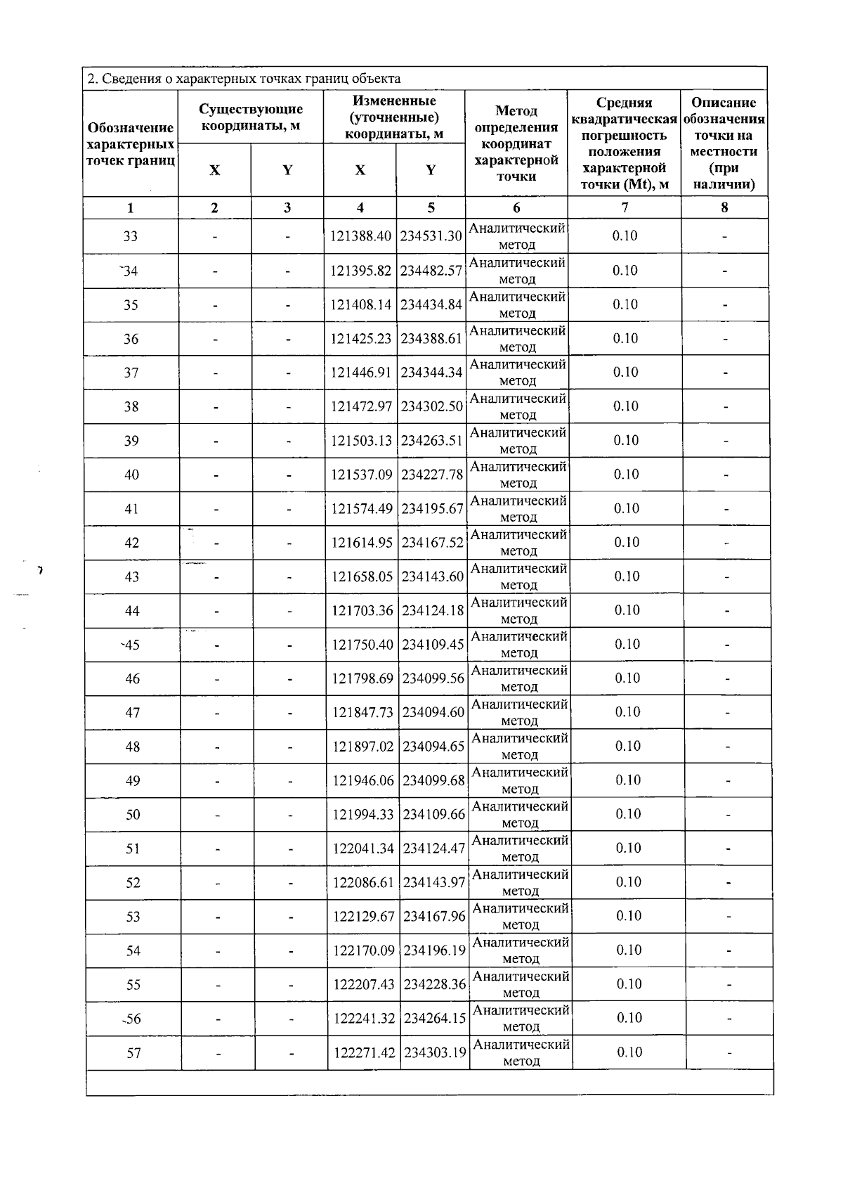
Страница №18 из 22:
Увеличить