Официальное опубликование правовых актов
ОФИЦИАЛЬНОЕ ОПУБЛИКОВАНИЕ
Приказ Министерства природопользования и экологии Владимирской области от 23.03.2026 № 32-н
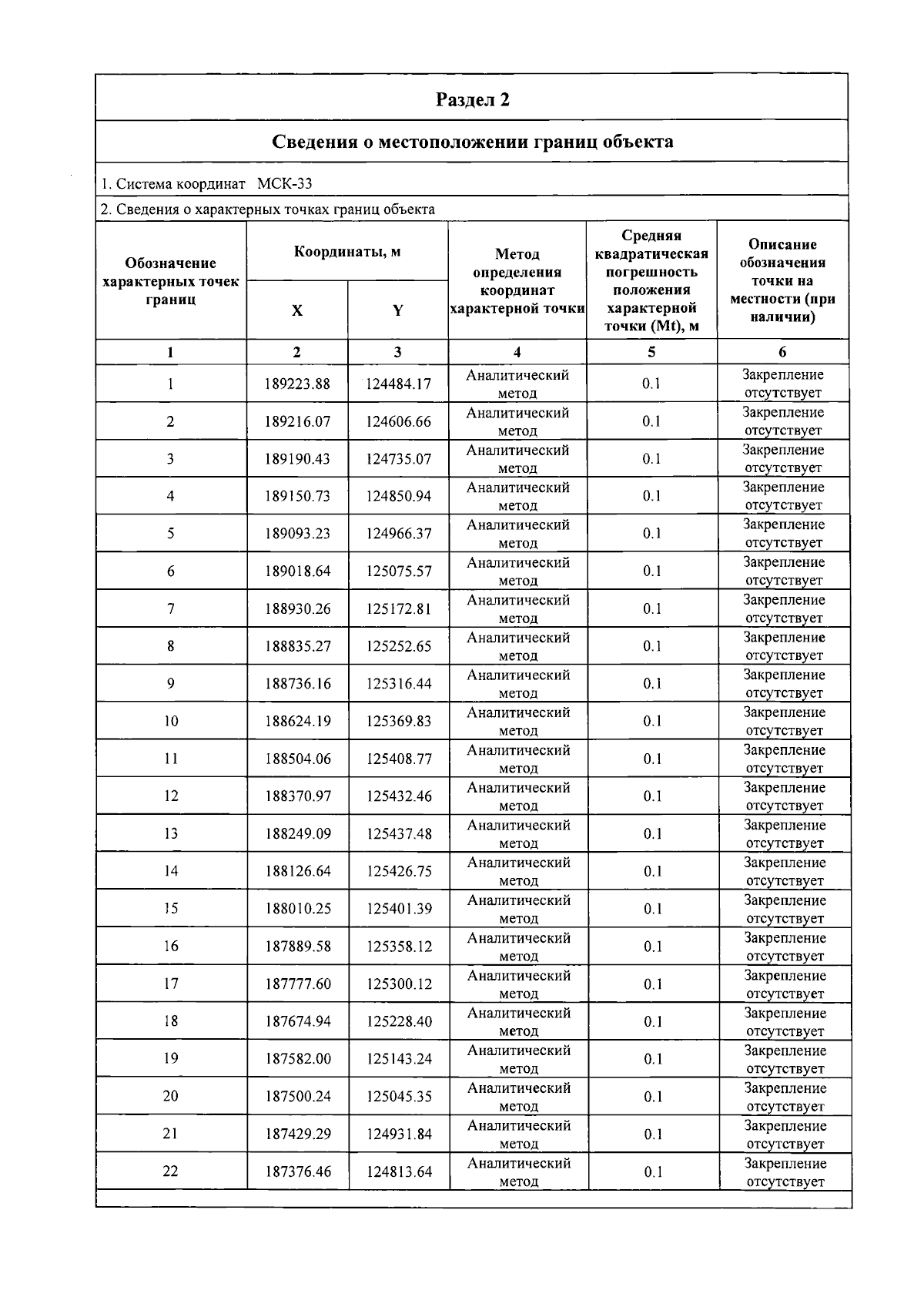
"Об установлении зон санитарной охраны источников питьевого, хозяйственно-бытового и технического водоснабжения ООО "Беко"
(Зарегистрирован 23.03.2026 № МПЭ2026-032)
Номер опубликования: 3301202603240001
Дата опубликования: 24.03.2026
Страница №13 из 19:
Увеличить