Официальное опубликование правовых актов
ОФИЦИАЛЬНОЕ ОПУБЛИКОВАНИЕ
Приказ Министерства природопользования и экологии Владимирской области от 30.03.2026 № 35-н
"Об установлении зон санитарной охраны источников питьевого, хозяйственно-бытового и технического водоснабжения ООО "Рыбоперерабатывающий комплекс Нептун"
(Зарегистрирован 30.03.2026 № МПЭ2026-035)
Номер опубликования: 3301202603300001
Дата опубликования: 30.03.2026
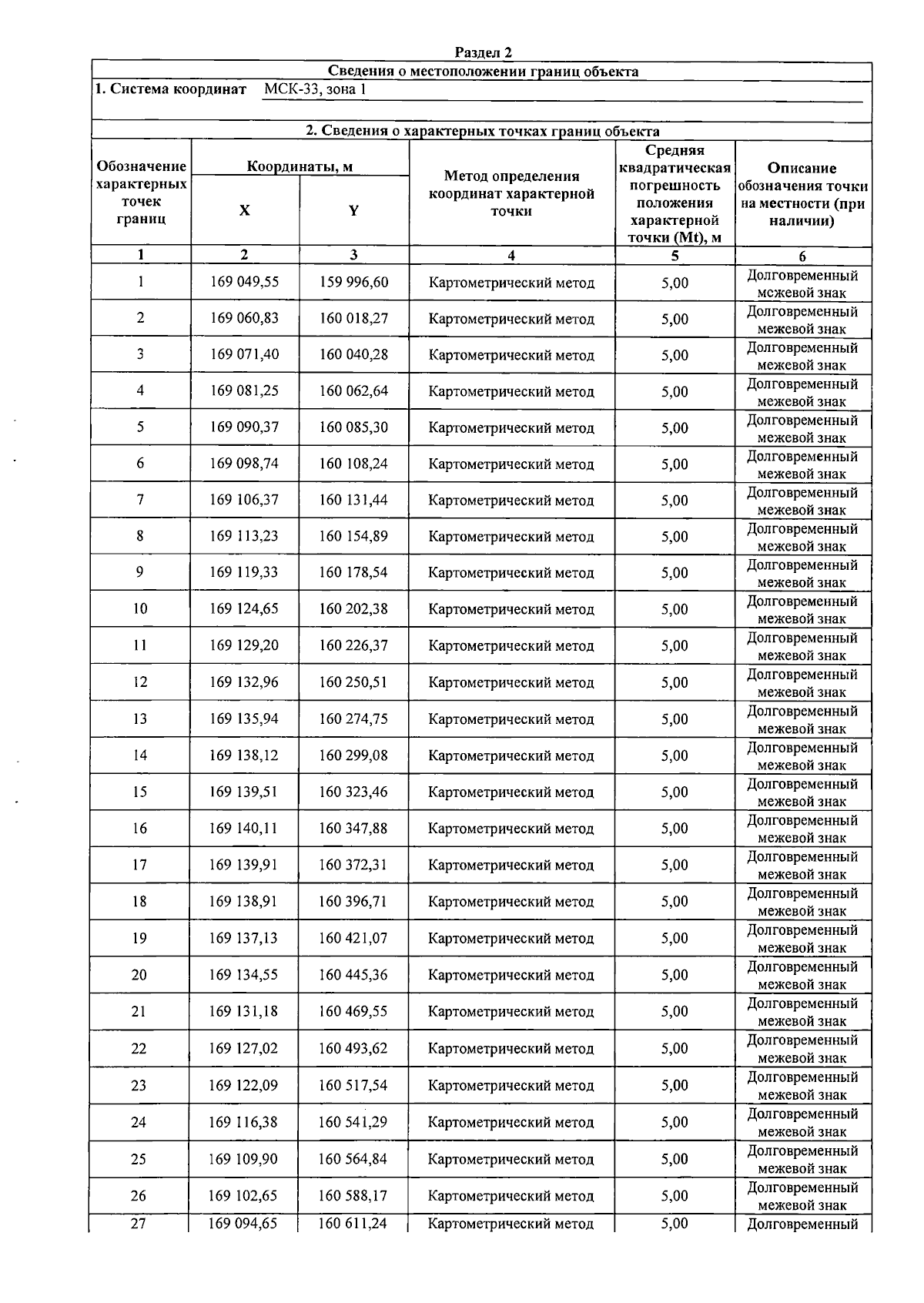
Страница №15 из 25:
Увеличить