Официальное опубликование правовых актов
ОФИЦИАЛЬНОЕ ОПУБЛИКОВАНИЕ
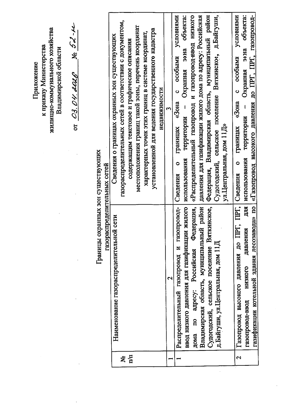
Приказ Министерства жилищно-коммунального хозяйства Владимирской области от 03.04.2026 № 52-н
"Об утверждении границ охранных зон газораспределительных сетей"
(Зарегистрирован 03.04.2026 № МЖКХ2026-052)
Номер опубликования: 3301202604090006
Дата опубликования: 09.04.2026
Страница №2 из 8:
Увеличить